注意:
現在、この機能は Map Viewer Classic (旧名称 Map Viewer) でのみサポートされています。 新しい Map Viewer の今後のリリースで提供される予定です。
[エリア内での集計 (Summarize Within)] ツールは、入力レイヤーが中にあるエリアまたは入力レイヤーが境界レイヤーと重なっているエリア内で統計情報を計算します。 [エリア内での集計] の対象となるエリアは、エリア レイヤー、六角形のビン、または四角形のビンです。
ワークフロー図

解析での使用 GeoAnalytics Tools
GeoAnalytics Tools を使用した解析は、複数の ArcGIS GeoAnalytics Server コンピューターやコアにまたがる分散型処理を使用して実施されます。GeoAnalytics Tools と ArcGIS Enterprise の標準的なフィーチャ解析ツールは、異なるパラメーターと機能を持ちます。これらの相違点については、「フィーチャ解析ツールの相違点」をご参照ください。
例
ある都市では、定期整備計画を効率よく実施するために、整備計画のそれぞれの評価対象地区内の街灯の数と自転車専用道路の総距離の計算に [エリア内での集計 (Summarize Within)] を使用しています。 このツールを使用すると、各地区での作業の実施に必要な人員の数を概算することができます。
あるケーブル テレビのプロバイダーは、低コストのインターネット接続を低所得地域の大学生に提供する試験的プログラムを開始しています。 [エリア内での集計] を使用すると、学区ごとの低所得世帯数を算出できるため、ケーブル テレビのプロバイダーは試験的プログラムに適した地区を選定することができます。
ある地域開発会社は、ある郡の都市部で新たな多目的開発事業を展開しようとしています。 都市ごとに、[エリア内での集計] を使用して、店舗、レストラン、ライトレールの駅にアクセスしやすい便利な立地条件の開発候補地を四角形のエリアで算出することができます。 このツールを使用すると、用地の選定をすばやく簡単に実行できます。
使用上の注意
[エリア内での集計 (Summarize Within)] の入力は、2 つのレイヤーである必要があります。 最初のレイヤーである集計エリアは、2 番目のレイヤーを集計するための境界として使用されるエリアです。 このレイヤーは、指定したエリア レイヤーまたは四角形、六角形のビンで構成できます。 2 番目に指定するレイヤーである集計対象レイヤーは、集計されるポイント、ライン、またはエリア レイヤーです。
GeoAnalytics Tools でサポートされているデータ タイプの詳細
ヒント:
組織の構成によって、Esri ArcGIS Living Atlas 解析レイヤー (郡や六角形のビンなど) またはカスタム解析レイヤーのいずれかにアクセスすることができます。 [境界内のその他のフィーチャを集計するエリア レイヤーを選択] パラメーターのドロップダウン矢印をクリックして、境界として使用する解析レイヤーを選択します。
レイヤー内で集計するフィーチャのタイプに応じて、[ポイント数]、[全長]、または [合計面積] ボックスが表示されます。 これらのボックスはデフォルトでオンに設定されており、統計情報を計算する場合にのみオフにすることができます。 デフォルトの距離計測単位は、プロファイルで設定されている単位によって決まります。
| 合計 | 入力フィーチャ | デフォルト | オプション |
|---|---|---|---|
ポイント数 | ポイント | None | None |
全長 | ライン | [マイル] (米国の標準設定) または [キロメートル] (メートル法設定) |
|
合計面積 | Areas | [平方マイル] (米国の標準設定) または [平方キロメートル] (メートル法設定) |
|
標準統計情報の計算は、必要に応じて実行できます。 すべての統計情報は、入力フィールドに比率タイプの数量が含まれると仮定して計算されます。 たとえば、計算では、値 30 は、合計ではなくパーセンテージの値と見なされます。 ラインとエリアでは、すべての加重統計情報が算出されます。 標準集計フィールド統計情報と加重集計フィールド統計情報はどちらも、[集計エリア] レイヤーと交差している [集計対象レイヤー] 内のフィーチャのデータに適用されます。 加重集計フィールド統計情報に、[集計エリア] が [集計対象レイヤー] 内の各フィーチャと交差している割合に基づく重みが乗算されます。
標準統計情報には、8 つのオプションがあります (個数、合計、平均、最小、最大、範囲、標準偏差、および分散)。 文字列統計情報には、2 つのオプションがあります (個数および任意)。 加重統計情報には、集計対象レイヤー内の数値フィールドに対して算出される 8 つのオプションがあります (個数、合計、平均、最小、最大、範囲、標準偏差、および分散)。 文字列データの場合は、加重統計情報が算出されません。
[フィールド] の値および [統計情報] の値が指定されるたびに、行がこのツールのウィンドウに追加されるため、複数の統計情報を計算することができます。 集計結果を結果レイヤーのテーブルまたはポップアップに表示できます。 デフォルトでは、[集計エリア] と交差しているフィーチャの個数が常に算出されます。
必要に応じて、[グループ化] フィールドを選択し、一意の属性値ごとに統計情報が別々に計算されるようにすることができます。 [グループ化] フィールドを選択すると、各フィーチャと統計情報を [グループ化] フィールドの値に基づいて表示する集計テーブルが作成されます。
[グループ化] フィールドが選択されると、[最少頻値、最頻値の追加] チェックボックスと [パーセンテージの追加] チェックボックスがオンになります。 最少頻値と最頻値は、[グループ化] フィールドに含まれる最も優位性の低い値と最も優位性の高い値であり、優位性はそれぞれの値のポイント数、全長、または合計面積で決定されます。
[最少頻値、最頻値の追加] チェックボックスをオンにすると、2 つのフィールドが結果レイヤーに追加されます。 これらのフィールドには、各結果フィーチャの最少頻値と最頻値である [グループ化] フィールドの値が表示されます。
[パーセンテージの追加] チェックボックスをオンにすると、2 つのフィールドが結果レイヤーに追加され、各フィーチャの最少頻値と最頻値に属しているポイント数、全長、または合計面積のパーセンテージが表示されます。 パーセンテージのフィールドは結果テーブルにも追加され、各フィーチャの [グループ化] フィールドのすべての値に属しているポイント数、全長、または合計面積のパーセンテージが表示されます。
標準統計情報または加重統計情報のどちらかを選択する際には、計算する統計情報とデータが表す内容を考慮する必要があります。 たとえば、加重統計情報を数と量に使用し、標準統計情報を比率と指数に使用することができます。
[現在のマップ範囲を使用] をオンにすると、現在のマップ範囲内に表示されている入力レイヤーと集計対象レイヤーのフィーチャだけが解析されます。 オフにすると、入力レイヤーと集計対象レイヤーのすべてのフィーチャが、現在のマップ範囲内になくても解析されます。
指定された地理座標系によるビン化 (六角形または四角形) を使用する GeoAnalytics Tools 解析は、データの範囲に基づく投影座標系を自動的に使用します。解析のために座標系を設定する詳細については、「マップ ビューアーでの GeoAnalytics ツールの解析環境の使用」をご参照ください。
測地距離を使用して統計計算が行われます。
制限事項
集計対象レイヤー内の 1 つ以上のフィーチャと交差している集計エリアだけが結果に含まれます。
エリア内での集計の詳細
以下では、ツールの機能について説明します。
方程式
集計対象のライン フィーチャとエリア フィーチャでは、加重統計情報に [集計エリア] の重みが加えられます。 ポイント フィーチャの統計情報は重み付けされません。 分散、加重平均、および加重標準偏差の計算に使用される方程式を次の表に示します。
| 統計 | イクエーション | 変数 | 機能 |
|---|---|---|---|
分散 | ![]() | ![]() | ポイント |
加重平均 | ![]() |
加重は、集計エリア内のフィーチャ の割合として算出されます。 | ラインとエリア |
加重標準偏差 | ![]() |
加重は、集計エリア内のフィーチャ の割合として算出されます。 | ラインとエリア |
ポイント
ポイント レイヤーの集計には、[集計エリア] 内にあるポイント フィーチャのみを使用します。 ポイントを集計する場合は、加重統計情報を適用できません。
仮想的なエリア内にあるポイント [集計対象レイヤー] の統計計算を次の図と表に示します。 このレイヤーの統計情報 ([個数]、[合計]、[最小]、[最大]、[範囲]、[平均]、[標準偏差]、および [分散]) の計算には、Population フィールドを使用しています。

| 数値統計情報 | 地区 A の結果 |
|---|---|
数 | 次の個数: |
合計値 | |
最小 | 次のうちの最小: |
最大 | 次のうちの最大: |
範囲 | |
平均 | |
分散 | ![]() |
標準偏差 | ![]() |
| 文字列の統計情報 | 地区 A の結果 |
|---|---|
数 | |
任意 | = 中学校 |
注意:
計数統計 (文字列フィールドと数値フィールド) は、非 NULL の値を数えます。 たとえば、[0, 1, 10, 5, null, 6] の個数は 5 です。 [Primary, Primary, Secondary, null] の個数は 3 です。
この解析の実用例は、それぞれの学区内の学生の合計人数を調べる場合です。 各ポイントは 1 つの学校を表します。 Type フィールドには、学校の種類 (小学校、中学校、または高校) が示され、学生人口のフィールドには、各学校に入学した学生の人数が示されています。 上記の表に示されているのは、地区 A の計算と結果です。 この結果から、地区 A には 2,568 人の学生が存在していることがわかります。 [エリア内での集計] ツールを実行すると、地区 B の結果も示されます。
ライン
加重統計情報では、ライン レイヤーの集計に、 [集計エリア] 内にあるライン フィーチャの割合のみを使用します。 標準 (非加重) 統計情報では、[集計エリア] と交差しているラインが集計されます。 加重統計情報でラインを集計する場合は、数や量 (比率や指数ではなく) を使用して、比率計算が解析で論理的な意味を持つようにします。
仮想的な [集計エリア] 内にあるライン [集計対象レイヤー] の統計計算を次の図と表に示します。 このレイヤーの統計情報 ([個数]、[合計]、[最小]、[最大]、[範囲]、[平均]、[標準偏差]、および [分散]) の計算には、Volume フィールドを使用しています。 標準統計情報の計算には、境界と交差しているラインが使用され、加重統計情報の計算には、[集計エリア] 内にあるラインの割合が使用されます。

| 数値統計情報 | 標準統計情報 | 加重統計情報 |
|---|---|---|
加重計算 | 該当なし | 茶色のラインの加重 (値 = 600): 青色のラインの加重 (値 = 1000): |
数 | 次の個数: | 次の個数: |
合計値 | | |
最小 | 次のうちの最小: | 次のうちの最小: |
最大 | 次のうちの最大: | 次のうちの最大: |
範囲 | | |
平均 | | |
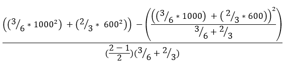
分散 | ![]() | ![]() |
標準偏差 | ![]() | ![]() |
この解析の実用例は、州立公園の境界内にある河川の合計水量を算出する場合です。 各ラインは、公園内に流域の一部が存在する河川を表しています。 この結果から、公園内の河川の流域は 5 マイルであり、合計水量は 900 単位であることがわかります。
Areas
エリア レイヤーの集計には、入力境界内にあるエリア フィーチャの比率のみを使用します。 エリアを集計する際には、絶対数を含むフィールドを使用して、比率計算が解析で論理的な意味を持つようにします。 結果レイヤーは、等級色で表示されます。
集計対象エリア レイヤーの加重統計情報は、[集計対象レイヤー] 内にある [集計エリア] フィーチャの割合に基づいています。 エリアを集計する場合は、数や量 (比率や指数ではなく) を使用して、比率計算が解析で論理的な意味を持つようにします。
仮想的な集計エリア内にあるエリア レイヤーの統計計算を次の図と表に示します。 このレイヤーの統計情報 ([個数]、[合計]、[最小]、[最大]、[範囲]、[平均]、[標準偏差]、および [分散]) の計算には、[Population] フィールドを使用しています。 標準統計情報の計算には、[集計エリア] と交差しているエリアが使用され、加重統計情報の計算には、各 [集計対象レイヤー] に含まれている集計エリアの割合に基づく比例加重が使用されます。

| 数値統計情報 | 標準統計情報: 地域 1 の結果 | 加重統計情報 地域 1 の結果 |
|---|---|---|
加重計算 | 黄色のエリアの加重 (値 = 3200): 緑色のエリアの加重 (値 = 4700): ピンク色のエリアの加重 (値 = 1000): 青色のエリアの加重 (値 = 4500): オレンジ色のエリアの加重 (値 = 3600): | |
数 | 次の個数: | 次の個数: |
合計値 | | |
最小 | 次のうちの最小: | 次のうちの最小: |
最大 | 次のうちの最大: | 次のうちの最大: |
範囲 | | |
平均 | | |
分散 | ![]() | ![]() |
標準偏差 | ![]() | ![]() |
ArcGIS API for Python の例
エリア内での集計ツールは ArcGIS API for Python で使用できます。
この例では、各都市の地区内の自転車専用車線の距離と平均傾斜角を計算します。
# Import the required ArcGIS API for Python modules
import arcgis
from arcgis.gis import GIS
from arcgis.geoanalytics import summarize_data
# Connect to your ArcGIS Enterprise portal and confirm that GeoAnalytics is supported
portal = GIS("https://myportal.domain.com/portal", "gis_publisher", "my_password")
if not portal.geoanalytics.is_supported():
print("Quitting, GeoAnalytics is not supported")
exit(1)
# Find the big data file share dataset you'll use for analysis
search_result = portal.content.search("", "Big Data File Share")
# Look through the search results for a big data file share with the matching name
bdfs_search = next(x for x in search_result if x.title == "bigDataFileShares_CityData")
# Look through the big data file share for BikeLanes
bike_lanes = next(x for x in bdfs_search.layers if x.properties.name == "BikeLanes")
# Look through the big data file share for districts
districts = next(x for x in bdfs_search.layers if x.properties.name == "districts")
weighted_summary_fields = [{"statisticType" : "Average","onStatisticField" : "Slope"}]
# Run the Summarize Within tool
summarize_within_result = summarize_data.summarize_within(summary_polygons = districts,
summarized_layer = bike_lanes,
weighted_summary_fields = weighted_summary_fields,
output_name = "summary_of_bike_lanes")
# Visualize the tool results if you are running Python in a Jupyter Notebook
processed_map = portal.map('Your City, State', 10)
processed_map.add_layer(summarize_within_result)
processed_map
類似のツール
[エリア内での集計 (Summarize Within)] では、境界レイヤーとオーバーラップしているフィーチャの統計情報を計算します。 その他のツールは、類似した少し異なる問題を解決するのに効果的です。
Map Viewer Classic の解析ツール
ポイントを集計し、時間ステップを適用する場合は、[ポイントの集約] ツールを使用します。
ArcGIS Pro の解析ツール
GeoAnalytics Tools は、ArcGIS Pro で使用できます。
[エリア内での集計] では、[空間結合] ツールと [統計情報のサマリー] ツールの機能を実行できます。















